/ Forschung

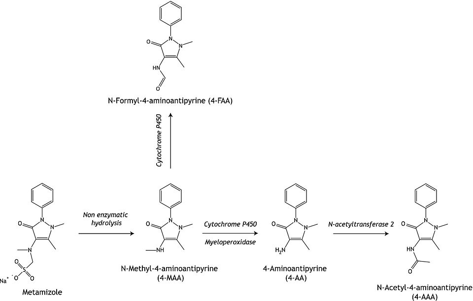
Metamizole is an analgesic and antipyretic drug used intensively in certain countries. Previous studies have shown that metamizole induces cytochrome (CYP) 2B6 and possibly CYP3A4. So far, it is unknown whether metamizole induces additional CYPs and by which mechanism. Read more